FlexoCMS

fr
  • fr
  • en
+32 4 252 97 52

  • Aménagement industriel
  • Coordination de projets
  • Nos méthodes
  • Études de cas
  • A propos
  • Contact

Déménagement Mecatech chez Jean Del'Cour



En 2020, nous avons accompagné l’entreprise Mécatech dans le cadre de son intégration au sein de l’entreprise Ateliers Jean Del’Cour (JD’C) dans le zoning de Grâce-Hollogne suite au rachat par cette dernière des parts de la SRL Mecatech.

L’entreprise Mecatech est spécialisée dans la mécanique de haute précision pour l’industrie aéronautique, l’armement civil, l’optique de précision alors que les Ateliers Jean Del’Cour ont des activités dans les métiers de la Connectique, de la Mécatronique et de la Mécano-soudure pour ces mêmes secteurs.

Analyse de la situation en cours

Mécatech est localisée depuis 2004 à Fexhe-Le-Haut-Clocher dans un bâtiment qui devient un peu petit pour les projets futurs développés par Alain Vanderbyse.

Ce bâtiment comprenait une partie administrative ainsi qu’un atelier de ~500m² intégrant une quinzaine de machines type tours et fraiseuses CNC. Il y avait aussi des stocks de matières premières, d’outillage ainsi que les produits finis.

En octobre 2019, Alain Vanderbyse proposa aux Ateliers Jean Del’Cour (avec qui il travaillait déjà étroitement) un rapprochement structurel entre Mecatech et JD’C.
JD’C disposait déjà d’un tour et d’une fraiseuse ainsi que d’un atelier de soudure.

Cette collaboration nécessitait le transfert des activités vers un bâtiment plus grand chez JD’C.
Une réorganisation interne permit de libérer le hall de stockage (850m²) et le hall « Soudure » (350m²) à côté du hall « Connectique » chez JD’C Grâce-Hollogne.

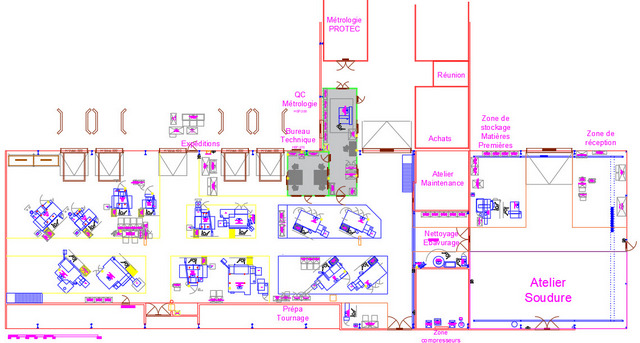
Plan d’implantation

Le parc machines Mecatech et JD’C, l’atelier soudure ainsi que tout le mobilier d’atelier ont été repérés, mesurés et des plans d’aménagement ont été réalisés à l’échelle. Cette étape était nécessaire afin de valider la faisabilité, préparer le déménagement et optimiser l’espace en intégrant des investissements futurs.

Cette implantation devait également intégrer une zone de métrologie et des bureaux.

Aménagement du site

Cet ancien hall de stockage devait rapidement être transformé en y ajoutant toutes les énergies nécessaires au fonctionnement d’un atelier d’usinage (Electricité de puissance, air comprimé, un bon éclairage, chauffage et des bureaux pouvant accueillir la métrologie et 4 postes de travail).

Sur base du plan d’implantation validé, Optim a géré l’électrification et le nouveau circuit d’air comprimé depuis le cahier de charges jusqu’au suivi de chantier. Nous avons donc coordonné avec tous les corps de métier présents, la préparation des lieux

La situation sanitaire liée au COVID ayant retardé le lancement de ce chantier, le bâtiment fût libéré le 9 novembre pour commencer les travaux.

Le déménagement fût lui, reprogrammé aux congés de fin d’année.

Déménagement

Le 21 décembre, tout était pratiquement prêt.
Les machines ayant été préalablement nettoyées par les équipes internes, nous avons organisé les transports à l’aide de matériel de manutention spécialisé.

En 3 jours, tout l’atelier Mecatech était à Grâce-Hollogne.

Le 23 décembre, toutes les machines étaient mises de niveau, raccordées en air comprimé et en électricité. Une première pièce fût même réalisée.

Un dernier coup de nettoyage finalisait cette étape.

La semaine du 4 janvier 2021, l’équipe Mecatech de retour de congé est entrée dans son nouvel espace de travail. Elle a repris ses marques pendant que les techniciens recalibraient tour à tour les machines.

Résultat

Tout ce projet a été orchestré par Optim, avec l’appui des équipes JD’C – Mécatech, avec la volonté de minimiser l’impact du déménagement sur l’activité en cours et coordonner tous les corps de métier pour gérer les interactions et un planning serré.
L’entreprise s’est arrêtée le 15 décembre 2020 et a recommencé à produire dans ses nouveaux locaux le 7 janvier 2021.

Merci à l’équipe Mecatech et JD’C ainsi qu’aux sous-traitants pour leur confiance et cette très belle collaboration.

«Dans ce genre de projet qui est consommateur de temps et d’énergie, il faut savoir en confier les rênes à une personne dont c’est la spécialité.Nous l’avons donc confié à Lionel Hacourt qui avait déjà l’habitude de travailler avec Mecatech.Lionel a tout de suite partagé le projet avec le responsable de l’infrastructure de JD’C, Benoit Thiry, et grâce à sa rigueur en gestion de projets, au réseau de partenaires avec lesquels il a l’habitude de travailler et au professionnalisme dont il fait preuve, Lionel a pu, avec l’appui des équipes Mécatech – JD’C, réussir le pari de respecter les délais et faire en sorte que Mecatech et l’ensemble de ses équipements soient opérationnels à Grâce-Hollogne pour le début de janvier 2021. bsp; A refaire, nous le referions avec Lionel et la même équipe ! »


‹ › ×

    Copyright 2015-2026 Optim. Tous droits reservés. | Vie privée | Réalisation du site Internet par Synchrone